1番目の数と2番目の数を足すと3番目の数になる。2番目の数と3番目の数を足すと4番目の数になる。という繰り返しでできている数列をフィボナッチ数列という。0からはじめると、次のような数列になる。
0 1 1 2 3 5 8 13 21 34 55 ...
この次の数は、いくつになるであろうか。正解は 34 + 55 = 89 である。
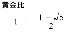
これを限りなく続けていくと、数はただただ大きくなっていくが、それだけではない。隣り合う数の比は黄金比とよばれるものに近づいていく。
しかも、どんな数から始めてもそのようになるのである。

= 1:1.61803398874989484820458683436564…
これを確かめられるような表をつくりなさい。(はじめの2つの数だけ入れると全部計算されるようにする)
どんどん足していくと 1.548008756E+012 などという数字がでてくる。これは 1.548008756×10の12乗という意味である。普通の書き方で 1548008756000 である。最後に0が3つ続くことでわかるようにもはや正確な値ではない。Kyplotの計算精度の限界を超えているということである。しかし、1.618033989 程度までは黄金比を計算できる。1.61803398874989484820458683436564…まで出すにはコンピュータでも特別な計算方法が必要なのである。
縦と横が黄金比であるような長方形を黄金長方形という。この長方形から正方形を切り取ると、残りの長方形の縦横も黄金比になっている。
長方形と何の関係もなさそうな数の並びであるフィボナッチ数列から黄金比がでてくるのは不思議ではないか。
fib として保存しなさい。